【行政许可事项服务指南】公司公开发行股票(A股、B股)核准-上市公司公开发行股票(公开增发、配股)
一、项目信息
1.项目名称:公司公开发行股票(A股、B股)核准
2.项目编码:44028
3.子项名称:上市公司公开发行股票(公开增发、配股)核准
二、设定依据
《公司法》第一百三十四条 公司经国务院证券监督管理机构核准公开发行新股时,必须公告新股招股说明书和财务会计报告,并制作认股书。
《证券法》第十条第一款:公开发行证券,必须符合法律、行政法规规定的条件,并依法报经国务院证券监督管理机构或者国务院授权的部门核准;未经依法核准,任何单位和个人不得公开发行证券。
《证券法》第二十三条第一款:国务院证券监督管理机构依照法定条件负责核准股票发行申请。核准程序应当公开,依法接受监督。
三、受理机构
中国证监会办公厅
四、审核机构
中国证监会发行监管部
五、审批数量
无数量限制
六、审批收费依据及标准
不收费
七、办理时限
3个月(证监会自受理证券发行申请文件之日起三个月内,依照法定条件和法定程序作出予以核准或者不予核准的决定,发行人根据要求补充、修改发行申请文件的时间不计算在内)
八、申请条件
1.公司法规定的条件
(1)第八十八条 发起人向社会公开募集股份,应当由依法设立的证券公司承销,签订承销协议。
(2)第八十九条 发起人向社会公开募集股份,应当同银行签订代收股款协议。
(3)第一百二十七条 股份的发行,实行公平、公正的原则,同种类的每一股份应当具有同等权利。
同次发行的同种类股票,每股的发行条件和价格应当相同;任何单位或者个人所认购的股份,每股应当支付相同价额。
(4)第一百二十八条 股票发行价格可以按票面金额,也可以超过票面金额,但不得低于票面金额。
(5)第一百三十四条 公司发行新股,股东大会应当对下列事项作出决议:(一)新股种类及数额;(二)新股发行价格;(三)新股发行的起止日期;(四)向原有股东发行新股的种类及数额。
2.证券法规定的条件
(1)第十三条 公司公开发行新股,应当符合下列条件:具备健全且运行良好的组织机构;具有持续盈利能力,财务状况良好;最近三年财务会计文件无虚假记载,无其他重大违法行为;经国务院批准的国务院证券监督管理机构规定的其他条件;
(2)第十四条 公司公开发行新股,应当向国务院证券监督管理机构报送募股申请和下列文件:(一)公司营业执照;(二)公司章程;(三)股东大会决议;(四)招股说明书;(五)财务会计报告;(六)代收股款银行的名称及地址;(七)承销机构名称及有关的协议。依照本法规定聘请保荐人的,还应当报送保荐人出具的发行保荐书。
(3)第十五条 公司对公开发行股票所募集资金,必须按照招股说明书所列资金用途使用。改变招股说明书所列资金用途,必须经股东大会作出决议。擅自改变用途而未作纠正的,或者未经股东大会认可的,不得公开发行新股,上市公司也不得非公开发行新股。
3.主板(含中小企业板)上市公司公开发行证券的条件
(1)上市公司的组织机构健全、运行良好,符合下列规定:(一)公司章程合法有效,股东大会、董事会、监事会和独立董事制度健全,能够依法有效履行职责;(二)公司内部控制制度健全,能够有效保证公司运行的效率、合法合规性和财务报告的可靠性;内部控制制度的完整性、合理性、有效性不存在重大缺陷;(三)现任董事、监事和高级管理人员具备任职资格,能够忠实和勤勉地履行职务,不存在违反公司法第一百四十八条、第一百四十九条规定的行为,且最近36个月内未受到过中国证监会的行政处罚、最近12个月内未受到过证券交易所的公开谴责;(四)上市公司与控股股东或实际控制人的人员、资产、财务分开,机构、业务独立,能够自主经营管理;(五)最近12个月内不存在违规对外提供担保的行为。
(2)上市公司的盈利能力具有可持续性,符合下列规定:(一)最近3个会计年度连续盈利。扣除非经常性损益后的净利润与扣除前的净利润相比,以低者作为计算依据;(二)业务和盈利来源相对稳定,不存在严重依赖于控股股东、实际控制人的情形;(三)现有主营业务或投资方向能够可持续发展,经营模式和投资计划稳健,主要产品或服务的市场前景良好,行业经营环境和市场需求不存在现实或可预见的重大不利变化;(四)高级管理人员和核心技术人员稳定,最近12个月内未发生重大不利变化;(五)公司重要资产、核心技术或其他重大权益的取得合法,能够持续使用,不存在现实或可预见的重大不利变化;(六)不存在可能严重影响公司持续经营的担保、诉讼、仲裁或其他重大事项;(七)最近24个月内曾公开发行证券的,不存在发行当年营业利润比上年下降50%以上的情形。
(3)上市公司的财务状况良好,符合下列规定:(一)会计基础工作规范,严格遵循国家统一会计制度的规定;(二)最近3年及一期财务报表未被注册会计师出具保留意见、否定意见或无法表示意见的审计报告;被注册会计师出具带强调事项段的无保留意见审计报告的,所涉及的事项对发行人无重大不利影响或者在发行前重大不利影响已经消除;(三)资产质量良好。不良资产不足以对公司财务状况造成重大不利影响;(四)经营成果真实,现金流量正常。营业收入和成本费用的确认严格遵循国家有关企业会计准则的规定,最近3年资产减值准备计提充分合理,不存在操纵经营业绩的情形;(五)最近3年以现金方式累计分配的利润不少于最近3年实现的年均可分配利润的30%。
(4)上市公司最近36个月内财务会计文件无虚假记载,且不存在下列重大违法行为:(一)违反证券法律、行政法规或规章,受到中国证监会的行政处罚,或者受到刑事处罚;(二)违反工商、税收、土地、环保、海关法律、行政法规或规章,受到行政处罚且情节严重,或者受到刑事处罚;(三)违反国家其他法律、行政法规且情节严重的行为。
(5)上市公司募集资金的数额和使用应当符合下列规定:(一)募集资金数额不超过项目需要量;(二)募集资金用途符合国家产业政策和有关环境保护、土地管理等法律和行政法规的规定;(三)除金融类企业外,本次募集资金使用项目不得为持有交易性金融资产和可供出售的金融资产、借予他人、委托理财等财务性投资,不得直接或间接投资于以买卖有价证券为主要业务的公司;(四)投资项目实施后,不会与控股股东或实际控制人产生同业竞争或影响公司生产经营的独立性;(五)建立募集资金专项存储制度,募集资金必须存放于公司董事会决定的专项账户。
(6)上市公司存在下列情形之一的,不得公开发行证券:(一)本次发行申请文件有虚假记载、误导性陈述或重大遗漏;(二)擅自改变前次公开发行证券募集资金的用途而未作纠正;(三)上市公司最近12个月内受到过证券交易所的公开谴责;(四)上市公司及其控股股东或实际控制人最近12个月内存在未履行向投资者作出的公开承诺的行为;(五)上市公司或其现任董事、高级管理人员因涉嫌犯罪被司法机关立案侦查或涉嫌违法违规被中国证监会立案调查;(六)严重损害投资者的合法权益和社会公共利益的其他情形。
4.主板(含中小企业板)上市公司配股的条件
向原股东配售股份(简称配股),还应当符合下列规定:拟配售股份数量不超过本次配售股份前股本总额的30%;(二)控股股东应当在股东大会召开前公开承诺认配股份的数量;(三)采用证券法规定的代销方式发行。
控股股东不履行认配股份的承诺,或者代销期限届满,原股东认购股票的数量未达到拟配售数量70%的,发行人应当按照发行价并加算银行同期存款利息返还已经认购的股东。
5.主板(含中小企业板)上市公司公开增发的条件
主板上市公司向不特定对象公开募集股份(简称公开增发),还应当符合下列规定:(一)最近3个会计年度加权平均净资产收益率平均不低于6%。扣除非经常性损益后的净利润与扣除前的净利润相比,以低者作为加权平均净资产收益率的计算依据;(二)除金融类企业外,最近一期末不存在持有金额较大的交易性金融资产和可供出售的金融资产、借予他人款项、委托理财等财务性投资的情形;(三)发行价格应不低于公告招股意向书前20个交易日公司股票均价或前1个交易日的均价。
6.创业板上市公司发行证券的条件
(1)上市公司发行证券,应当符合《证券法》规定的条件,并且符合以下规定:(一)最近二年盈利,净利润以扣除非经常性损益前后孰低者为计算依据;(二)会计基础工作规范,经营成果真实。内部控制制度健全且被有效执行,能够合理保证公司财务报告的可靠性、生产经营的合法性,以及营运的效率与效果; (三)最近二年按照上市公司章程的规定实施现金分红;(四)最近三年及一期财务报表未被注册会计师出具否定意见或者无法表示意见的审计报告;被注册会计师出具保留意见或者带强调事项段的无保留意见审计报告的,所涉及的事项对上市公司无重大不利影响或者在发行前重大不利影响已经消除;(五)最近一期末资产负债率高于百分之四十五,但上市公司非公开发行股票的除外;(六)上市公司与控股股东或者实际控制人的人员、资产、财务分开,机构、业务独立,能够自主经营管理。上市公司最近十二个月内不存在违规对外提供担保或者资金被上市公司控股股东、实际控制人及其控制的其他企业以借款、代偿债务、代垫款项或者其他方式占用的情形。
(2)上市公司存在下列情形之一的,不得发行证券:(一)本次发行申请文件有虚假记载、误导性陈述或者重大遗漏; (二)最近十二个月内未履行向投资者作出的公开承诺;(三)最近三十六个月内因违反法律、行政法规、规章受到行政处罚且情节严重,或者受到刑事处罚,或者因违反证券法律、行政法规、规章受到中国证监会的行政处罚;最近十二个月内受到证券交易所的公开谴责;因涉嫌犯罪被司法机关立案侦查或者涉嫌违法违规被中国证监会立案调查;(四)上市公司控股股东或者实际控制人最近十二个月内因违反证券法律、行政法规、规章,受到中国证监会的行政处罚,或者受到刑事处罚;(五)现任董事、监事和高级管理人员存在违反《公司法》第一百四十七条、第一百四十八条规定的行为,或者最近三十六个月内受到中国证监会的行政处罚、最近十二个月内受到证券交易所的公开谴责;因涉嫌犯罪被司法机关立案侦查或者涉嫌违法违规被中国证监会立案调查; (六)严重损害投资者的合法权益和社会公共利益的其他情形。
(3)上市公司募集资金使用应当符合下列规定:(一)前次募集资金基本使用完毕,且使用进度和效果与披露情况基本一致;(二)本次募集资金用途符合国家产业政策和法律、行政法规的规定;(三)除金融类企业外,本次募集资金使用不得为持有交易性金融资产和可供出售的金融资产、借予他人、委托理财等财务性投资,不得直接或者间接投资于以买卖有价证券为主要业务的公司;(四)本次募集资金投资实施后,不会与控股股东、实际控制人产生同业竞争或者影响公司生产经营的独立性。
7.创业板上市公司配股的条件
向原股东配售股份(简称配股),还应当符合下列规定:(一)拟配售股份数量不超过本次配售股份前股本总额的百分之三十;(二)控股股东应当在股东大会召开前公开承诺认配股份的数量;(三)采用《证券法》规定的代销方式发行。
控股股东不履行认配股份的承诺,或者代销期限届满,原股东认购股票的数量未达到拟配售数量百分之七十的,上市公司应当按照发行价并加算银行同期存款利息返还已经认购的股东。
8.创业板上市公司公开增发的条件
向不特定对象公开募集股份(简称公开增发),还应当符合下列规定:(一)除金融类企业外,最近一期末不存在持有金额较大的交易性金融资产和可供出售的金融资产、借予他人款项、委托理财等财务性投资的情形;(二)发行价格不低于公告招股意向书前二十个交易日或者前一个交易日公司股票均价。
九、申请材料
(一)文件目录
1.主板上市公司公开增发、配股申请文件目录
第一章 本次证券发行的募集文件
1-1 募集说明书(申报稿)
1-2 募集说明书摘要
1-3 发行公告(发审会后按中国证监会要求提供)
第二章 发行人关于本次证券发行的申请与授权文件
2-1 发行人关于本次证券发行的申请报告
2-2 发行人董事会决议
2-3 发行人股东大会决议
第三章 保荐机构关于本次证券发行的文件
3-1 证券发行保荐书
3-2 保荐机构尽职调查报告
第四章 发行人律师关于本次证券发行的文件
4-1 法律意见书
4-2 律师工作报告
第五章 关于本次证券发行募集资金运用的文件
5-1 募集资金投资项目的审批、核准或备案文件
5-2 发行人拟收购资产(包括权益)有关的财务报告、审计报告、资产评估报告
5-3 发行人拟收购资产(包括权益)的合同或其草案
第六章 其他文件
6-1 发行人最近三年的财务报告和审计报告及最近一期的财务报告
6-2 会计师事务所关于发行人内部控制制度的鉴证报告
6-3 会计师事务所关于前次募集资金使用情况的专项报告
6-4 经注册会计师核验的发行人最近三年加权平均净资产收益率和非经常性损益明细表
6-5 发行人董事会、会计师事务所及注册会计师关于非标准无保留意见审计报告的补充意见
6-6 盈利预测报告及盈利预测报告审核报告
6-7 最近三年内发生重大资产重组的发行人提供的模拟财务报告及审计报告和重组进入公司的资产的财务报告、资产评估报告和/或审计报告
6-8 控股股东(企业法人)最近一年的财务报告、审计报告以及保荐机构出具的关于实际控制人情况的说明
6-9 发行人公司章程(限于电子文件)
6-10 资信评级机构为本次发行可转换公司债券或分离交易的可转换公司债券出具的资信评级报告
6-11 本次发行可转换公司债券或分离交易的可转换公司债券的担保合同、担保函、担保人就提供担保获得的授权文件
6-12 特定行业(或企业)主管部门出具的监管意见书
6-13 承销协议(发行前按中国证监会要求提供)
6-14 发行人全体董事对发行申请文件真实性、准确性和完整性的承诺书
2.创业板上市公司公开增发、配股申请文件目录
第一章 本次证券发行的募集文件
1-1募集说明书(申报稿)
1-2发行公告(发审会后按中国证监会要求提供)
第二章 发行人关于本次证券发行的申请与授权文件
2-1 发行人关于本次证券发行的申请报告
2-2发行人董事会决议
2-3发行人股东大会决议
2-4关于本次发行涉及/不涉及重大资产重组的说明
2-5公告的其他相关信息披露文件
第三章 保荐机构关于本次证券发行的文件
3-1证券发行保荐书
3-2 发行保荐工作报告
第四章 发行人律师关于本次证券发行的文件
4-1 法律意见书
4-2 律师工作报告
第五章 关于本次证券发行募集资金运用的文件
5-1募集资金投资项目的审批、核准或备案文件
5-2发行人拟收购资产(包括权益)有关的财务报告、审计报告、资产评估报告
5-3 发行人拟收购资产(包括权益)的合同或其草案
第六章 其他文件
6-1发行人最近三年的财务报告和审计报告及最近一期的财务报告
6-2会计师事务所关于发行人内部控制制度的鉴证报告
6-3会计师事务所关于前次募集资金使用情况的专项报告
6-4经注册会计师核验的发行人非经常性损益明细表
6-5发行人董事会、会计师事务所及注册会计师关于非标准无保留意见审计报告的补充意见
6-6盈利预测报告及盈利预测报告审核报告
6-7最近三年内发生重大资产重组的发行人提供的模拟财务报告及审计报告和重组进入公司的资产的财务报告、资产评估报告和/或审计报告
6-8控股股东(企业法人)最近一年的财务报告、审计报告以及保荐机构出具的关于实际控制人情况的说明
6-9发行人公司章程(限于电子文件)
6-10资信评级机构为本次发行可转换公司债券出具的资信评级报告
6-11本次发行可转换公司债券的担保合同、担保函、担保人就提供担保获得的授权文件
6-12特定行业(或企业)主管部门出具的监管意见书
6-13承销协议(发行前按中国证监会要求提供)
6-14发行人全体董事、监事、高级管理人员对发行申请文件真实性、准确性和完整性的承诺书
(二)材料数量
公开增发、配股报送申请文件,初次报送应提交原件一份,复印件两份;在提交发行审核委员会审核之前,根据证监会要求的份数补报申请文件。
在每次报送书面文件的同时,发行人应报两份相应的电子文件(应为标准.doc或.rtf文件)。
十、申请接收
(一)接收方式
窗口接收:中国证监会行政许可申请受理服务中心,北京市西城区金融大街19号富凯大厦一层。
(二)办公时间:
8:30-11:00,13:30-16:00
十一、办理程序
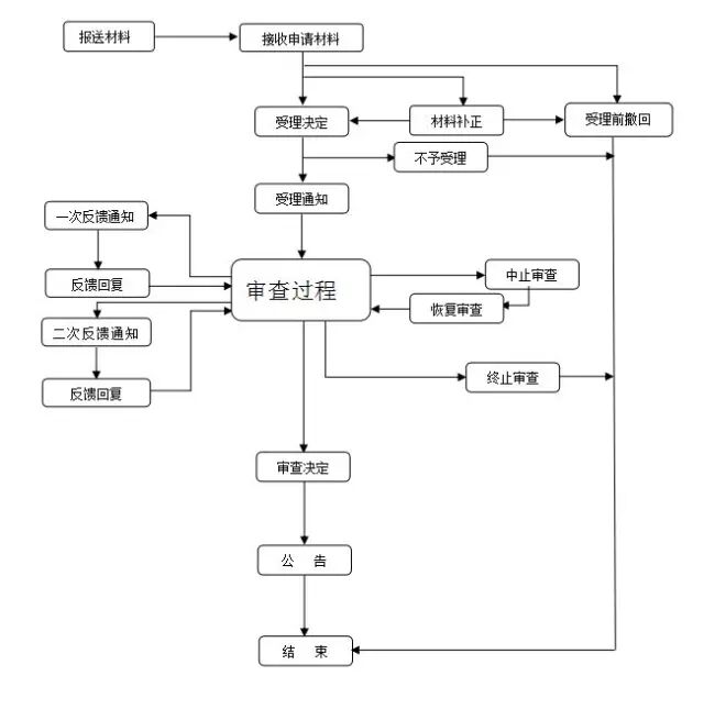
按照依法行政、公开透明、集体决策、分工制衡的要求,公开增发、配股申请的审核工作流程分为受理、反馈会、初审会、发审会、封卷、核准发行等主要环节,分别由不同处室负责,相互配合、相互制约。对每一个发行人的审核决定均通过会议以集体讨论的方式提出意见,避免个人决断。
1.基本审核流程图
2.增发、配股申请审核主要环节简介
(1)受理
证监会受理部门根据《行政许可程序规定》、《上市公司证券发行管理办法》、《创业板上市公司证券发行管理暂行办法》等规则的要求,依法受理上市公司公开增发、配股申请文件,并按程序转发行监管部。发行监管部在正式受理后,将申请文件分发至相关监管处室,相关监管处室根据发行人的行业、公务回避的有关要求以及审核人员的工作量等确定审核人员。
(2)反馈会
相关监管处室审核人员审阅发行人申请文件后,从非财务和财务两个角度撰写审核报告,提交反馈会讨论。反馈会主要讨论初步审核中关注的主要问题,确定需要发行人补充披露以及中介机构进一步核查说明的问题。
反馈会按照申请文件受理顺序安排。反馈会由综合处组织并负责记录,参会人员有相关监管处室审核人员和处室负责人等。反馈会后将形成书面意见,履行内部程序后反馈给保荐机构。反馈意见发出前不安排发行人及其中介机构与审核人员沟通。
保荐机构收到反馈意见后,组织发行人及相关中介机构按照要求进行回复。综合处收到反馈意见回复材料进行登记后转相关监管处室。审核人员按要求对申请文件以及回复材料进行审核。
发行人及其中介机构收到反馈意见后,在准备回复材料过程中如有疑问可与审核人员进行沟通,如有必要也可与处室负责人、部门负责人进行沟通。
审核过程中如发生或发现应予披露的事项,发行人及其中介机构应及时报告发行监管部并补充、修改相关材料。初审工作结束后,将形成初审报告(初稿)提交初审会讨论。
(3)初审会
初审会由审核人员汇报发行人的基本情况、初步审核中发现的主要问题及反馈意见回复情况。初审会由综合处组织并负责记录,发行监管部相关负责人、相关监管处室负责人、审核人员以及发审委委员(按小组)参加。
根据初审会讨论情况,审核人员修改、完善初审报告。初审报告是发行监管部初审工作的总结,履行内部程序后与申请材料一并提交发审会。
初审会讨论决定提交发审会审核的,发行监管部在初审会结束后出具初审报告。初审会讨论后认为发行人尚有需要进一步披露和说明的重大问题、暂不提交发审会审核的,将再次发出书面反馈意见。
(4)发审会
发审委制度是发行审核中的专家决策机制。目前主板中小板发审委委员共25人,创业板发审委委员共35人,每届发审委成立时,均按委员所属专业划分为若干审核小组,按工作量安排各小组依次参加初审会和发审会。各组中委员个人存在需回避事项的,按程序安排其他委员替补。发审委通过召开发审会进行审核工作。发审会以投票方式对证券发行申请进行表决。根据《中国证券监督管理委员会发行审核委员会办法》(以下简称《发审委办法》)规定,发审委会议审核公开增发、配股申请适用普通程序。发审委委员投票表决采用记名投票方式,会前需撰写工作底稿,会议全程录音。
根据《发审委办法》规定,发审会召开5天前中国证监会发布会议公告,公布发审会审核的发行人名单、会议时间、参会发审委委员名单等。发审会由审核人员向委员报告审核情况,并就有关问题提供说明,委员发表审核意见,发行人代表和保荐代表人各2名到会陈述并接受聆讯,发行人聆询时间不超过45分钟,聆询结束后由委员投票表决。发审会认为发行人有需要进一步披露和说明问题的,形成书面审核意见后告知保荐机构。
保荐机构收到发审委审核意见后,组织发行人及相关中介机构按照要求回复。综合处收到审核意见回复材料后转相关监管处室。审核人员按要求对回复材料进行审核并履行内部程序。
(5)封卷
发行人的公开增发、配股申请通过发审会审核后,需要进行封卷工作,即将申请文件原件重新归类后存档备查。封卷工作在按要求回复发审委意见后进行。如没有发审委意见需要回复,则在通过发审会审核后即进行封卷。
(6)会后事项
会后事项是指发行人公开增发、配股申请通过发审会审核后,启动发行前发生的可能影响本次发行上市及对投资者作出投资决策有重大影响的应予披露的事项。发生会后事项的需履行会后事项程序,发行人及其中介机构应按规定向综合处提交会后事项材料。综合处接收相关材料后转相关监管处室。审核人员按要求及时提出处理意见。需重新提交发审会审核的,按照会后事项相关规定履行内部工作程序。如申请文件没有封卷,则会后事项与封卷可同时进行。
(7)核准发行
封卷并履行内部程序后,将进行核准批文的下发工作。发行人领取核准发行批文后,无重大会后事项或已履行完会后事项程序的,可按相关规定启动发行。
审核程序结束后,发行监管部根据审核情况起草持续监管意见书,书面告知日常监管部门。
3.并联审批:公开增发、配股申请审核过程中,涉及国家产业政策、宏观调控等事项的(限主板(含中小企业板)),证监会将征询国务院相关部委的意见。
4.对运作规范、市场表现良好的上市公司,在符合法定条件的前提下,取消反馈环节,可以不再要求发行人到发审会上接受询问,15个工作日内作出行政许可决定。
十二、审批结果
证监会依照法定条件对发行人的发行申请作出予以核准或者不予核准的决定,并出具相关文件。
十三、结果送达
证监会对公开增发、配股申请作出行政决定后,发行监管部在10个工作日内,通过电话方式通知保荐机构,通过现场领取核准批复的方式送达。
十四、申请人权利和义务
(一)依据《证券法》、《上市公司证券发行管理办法》、《创业板上市公司证券发行管理暂行办法》、《发行审核委员会办法》等,申请人依法享有以下权利:
1.依法向证监会申请公开发行股票
2.自证监会核准发行之日起,发行人可在6个月内发行股票;超过6个月未发行的,核准文件失效。
3.发行人及其他相关单位和个人如果认为发审委委员与其存在利害冲突或者潜在的利害冲突,可能影响发审委委员公正履行职责的,可以在报送发审委会议审核的股票发行申请文件时,向中国证监会提出要求有关发审委委员予以回避的书面申请,并说明理由。
4.发行人公开发行股票申请被证监会作出不予核准的决定后,发行人如再次申请发行证券,可在不予核准决定作出之日起6个月后提出申请。如发行人对证监会作出的不予核准的决定不服,可在收到决定之日起60日内,向证监会申请行政复议,也可在收到决定之日起3个月内,向有管辖权的人民法院提起行政诉讼。
(二)依据《证券法》、《上市公司证券发行管理办法》、《创业板上市公司证券发行管理暂行办法》、《发行审核委员会办法》等,申请人依法履行以下义务:
1.发行人向国务院证券监督管理机构或者国务院授权的部门报送的证券发行申请文件,必须真实、准确、完整。
2.上市公司发行证券,必须真实、准确、完整、及时、公平地披露或者提供信息,不得有虚假记载、误导性陈述或者重大遗漏。
3.发行人应根据中国证监会对发行申请文件的反馈意见提供补充材料。
4.发行人不得以不正当手段干扰中国证监会及其发行审核委员会审核工作。
5.上市公司应当建立投资者保护机制,优化投资回报机制,保障投资者的知情权和参与权等权利,切实保护投资者特别是中小投资者的合法权益。
6.申请文件一经受理,未经证监会同意不得增加、撤回或更换。
十五、咨询途径
(一)窗口咨询:中国证监会行政许可申请受理服务中心,北京市西城区金融大街19号富凯大厦一层
(二)电话咨询:(010)88061163
(三)信函咨询:中国证监会发行监管部,通信地址:北京市西城区金融大街19号富凯大厦(邮编:100033)
十六、监督和投诉渠道
(一)电话投诉:(010)88060431
(二)电子邮件投诉:zwgk@csrc.gov.cn
十七、办公地址和时间
(一)办公地址:北京市西城区金融大街19号富凯大厦
(二)办公时间: 8:30-11:30,13:30-17:00
十八、公开查询
自受理之日起5个工作日后,可通过中国证监会网站行政许可栏目查询审批状态和结果。
十九、办理流程图

法盛金融投资平台提供股权投融资、基金资管、新三板/IPO、战略新兴板、并购重组方面的资讯及法律服务;提供金融不良资产投资收购、经营处置方面的资讯及法律服务;提供税务筹划及企业法律风险管理服务。

捷铭天使,致力于为普通投资人跟投顶尖专业投资人领投的优质创新创业项目提供综合服务。
免责声明:本公众号发布的信息,除署名外,均来源于互联网等公开渠道,版权归原著作权人或机构所有。我们尊重版权保护,如有问题请联系我们,谢谢!(联系电话:020-85201361,邮箱:wangblawyer@sohu.com)